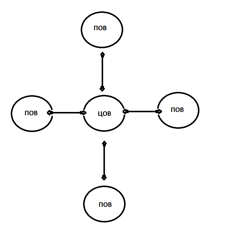
Имеем:
-ЦОВ - центр обработки вызовов
-ПОВ - пункт обработки вызовов
Соединение между ЦОВом и ПОВом по интернету.
На ЦОВ и ПОВ установлены asterisk.
Между asterisk'ами в ЦОВе и ПОВе установлено двухстороннее соединения
(ПОВ коннектится в ЦОВ и наоборот, тип соедидения friend).
Соответственно телефоны коннектятся к ПОВ'ам, ЦОВ для соединения между телефоном,
подключаемым к ПОВ1, и телефоном, подключаемым к ПОВ2.
В матчасти пишут, что такое возможно.
Скорее всего на ЦОВ придется держать базу всех номеров телефонов, подключенных к ПОВ("номер - название ПОВ").
А возможно такая база будет и на каждом ПОВ.
Вопросы:
1.т.к. ip-шники точно не будут пробрасываться вручную,
насколько трудно будет настроить nat? и вообще реально ли его настроить
2.какие примерно мощи нужны на такую систему(какой сервак asterisk ставить
на ЦОВ и ПОВ)?
Планируется 10-20 ПОВ, в каждом ПОВ 5-10 соединений одновременно (макс).
В среднем на каждый ПОВ около 2000 вызовов в сутки.
3.может есть решение получше при подобной топологии?
Бонус: примерная стоимость железа с FXO портом(портами), в которое можно завести pstn

